Математика | 5 - 9 классы
Прошу.
Срочно!
Помогите!
Задача :
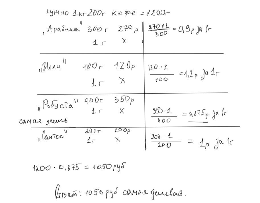
В магазине продаётся кофе разных сортов.
Нужно купить 1кг 200г кофе одного сорта.
Сколько будет стоить самая дешёвая покупка?
Ответ дайте в рублях.
.

В магазине продаётся несколько сортов чая в разных упаковках и по различной цене необходимо приобрести 1, 2 кг чая одного вида во сколько рублей обойдется наиболее дешевая покупка?
В магазине продаётся несколько сортов чая в разных упаковках и по различной цене необходимо приобрести 1, 2 кг чая одного вида во сколько рублей обойдется наиболее дешевая покупка?
СРОЧНО ПОЖАЛУЙСТА.

Помогите решать задачу пожалуйста , 10 балов дам?
Помогите решать задачу пожалуйста , 10 балов дам!
В магазине продаётся несколько сортов желе в разных упаковках и по различной цене.
Апельсиновое : 100 мл - 53 р
Малиновое : 50 мл - 26 руб
Вишнёвое : 60 мл - 32 руб
Черничное : 150 мл - 79 руб
Необходимо приобрести 0, 6 л желе одного вида.
Во сколу о рублей обойдётся наиболее дешёвая покупка.

В магазине продается мед разного вида в разных банках и по различной цене нужно купить 2 кг мёда одного вида во сколько рублей обойдется самая дешевая покупка?
В магазине продается мед разного вида в разных банках и по различной цене нужно купить 2 кг мёда одного вида во сколько рублей обойдется самая дешевая покупка.

СРОЧНО?
СРОЧНО!
ДАЮ 20Б!
ЗАДАНИЕ 1) В театральной кассе было 700 билетов на спектакль.
Остались непроданными 29 % билетов.
Сколько билетов на спектакль было продано?
ЗАДАНИЕ 2) В магазине продаётся несколько сортов чая в разных упаковках и по различной цене.
Нужно
купить 1 кг чая одного сорта.
Во сколько рублей обойдётся наиболее дешёвая покупка?
Чай
Упаковка
Цена упаковки
Зелёный
250 г 205 руб.
Зелёный с жасмином
250 г 177 руб.
Чёрный с бергамотом
250 г 227 руб.
Чёрный
100 г 87 руб.

Помогите пожалуйста, решите хотя бы что - нибудь?
Помогите пожалуйста, решите хотя бы что - нибудь!
Заранее огромное спасибо!
1. Упростите выражение.
- 0, 5x²y × 5xy³
2.
Решите уравнение.
X² + 5 × x - 9 = 45.
3. Используя формулу сокращенного умножения вычислите :
12 2 \ 5² - 2 2 \ 5²
4.
Решите задачу.
За 2 м.
Ткани и одного, и первого сорта, и 3 м.
Второго сорта уплатили 300 рублей, а за 1 м.
Первого сорта и 1 м.
Второго сорта уплатили 100 рублей.
Сколько стоит 1 м.
Ткани каждого сорта?
ОГРОМНОЕ СПАСИБО!

В кондитерском магазине продавщица выложила на прилавок в ряд 91 конфету нескольких сортов?
В кондитерском магазине продавщица выложила на прилавок в ряд 91 конфету нескольких сортов.
Оказалось, что между каждыми двумя конфетами одного сорта лежит четное число конфет.
Какое наименьшее число сортов могло быть?

Аппарат для приготовления кофе стоит 25000?
Аппарат для приготовления кофе стоит 25000.
Кофе 500г, которого хватает на 246 чашек стоит 860.
За сколько нужно продавать чашку кофе чтобы окупить аппарат для его приготовления?
Cчитать что стоимость воды используемой на 1 чашку кофе равна 2.

На 150р можно купить четверть килограмма кофе Какова стоимость 100г кофе?
На 150р можно купить четверть килограмма кофе Какова стоимость 100г кофе.

Для первоклассника Вадима нужно купить рубашку, брюки, пиджак и галстук в одном из магазинов : «Школьник», «Костюм» или «Первоклассник»?
Для первоклассника Вадима нужно купить рубашку, брюки, пиджак и галстук в одном из магазинов : «Школьник», «Костюм» или «Первоклассник».
Используя данные таблицы, найдите стоимость самой дешёвой покупки.
Укажите магазин, в котором нужно сделать эту покупку.

В магазине продается мед разного вида в разных банках и по различной цене?
В магазине продается мед разного вида в разных банках и по различной цене.
Нужно купить 2кг меда одного вида.
Во сколько руб.
Обойдётся самая дешевая покупка?
Горный : 500г 330 руб.
Липовый : 200г 150 руб.
Луговый : 400г 250 руб.
Гречишный : 250г 140 руб.
Вопрос Прошу?, расположенный на этой странице сайта, относится к категории Математика и соответствует программе для 5 - 9 классов. Если ответ не удовлетворяет в полной мере, найдите с помощью автоматического поиска похожие вопросы, из этой же категории, или сформулируйте вопрос по-своему. Для этого ключевые фразы введите в строку поиска, нажав на кнопку, расположенную вверху страницы. Воспользуйтесь также подсказками посетителей, оставившими комментарии под вопросом.


Ответ :
1050 рублей самая дешевая.
Пошаговое объяснение :
Не нашли ответ?
Задайте свой вопрос - ответ придёт в течение нескольких минут
Задать вопрос Решить по фото