Математика | 5 - 9 классы
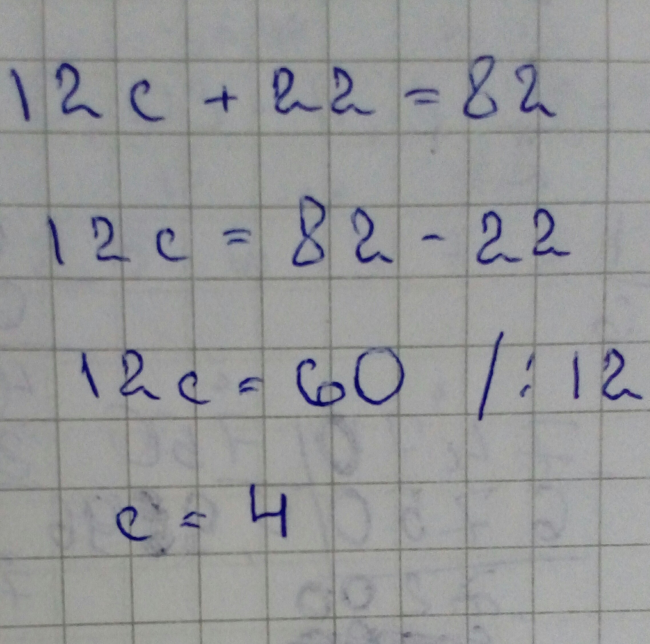
Помогите решить пожалуйста пример и объясните как решать 12с + 22 = 82.

Помогите пожалуйста решить примеры 10 чтобы получить одинаковые знаменатели решаются дробими?
Помогите пожалуйста решить примеры 10 чтобы получить одинаковые знаменатели решаются дробими.

Объясните как решать данный пример, пожалуйста?
Объясните как решать данный пример, пожалуйста.

Номер 14 под (в, е) объясните как это решается пожалуйсто?
Номер 14 под (в, е) объясните как это решается пожалуйсто!

Реши примеры?
Реши примеры.
Помогите и скажите как решать такие примеры что б я сам мог их решать пожалуйста
.

Решите пожалуйста и объясните, как решать подобные?
Решите пожалуйста и объясните, как решать подобные.

Выполните действия, и объясните как решать пожалуйста?
Выполните действия, и объясните как решать пожалуйста.
Извините что фотографией.
_. .

√6 * √55 / √33 * 10объясните как решать, пожалуйста?
√6 * √55 / √33 * 10
объясните как решать, пожалуйста.

Решите две задачи?
Решите две задачи.
Решайте с примерами можно с фото Срочно!
.

Помогите решить?
Помогите решить.
И будьте добры, объясните, как это решается.
Спасибо.

20Баллов?
20Баллов!
Пожалуйста!
Решите #49 и объясните как его решать подробно распишите родалуйста (я не понимаю ).
На этой странице сайта размещен вопрос Помогите решить пожалуйста пример и объясните как решать 12с + 22 = 82? из категории Математика с правильным ответом на него. Уровень сложности вопроса соответствует знаниям учеников 5 - 9 классов. Здесь же находятся ответы по заданному поиску, которые вы найдете с помощью автоматической системы. Одновременно с ответом на ваш вопрос показаны другие, похожие варианты по заданной теме. На этой странице можно обсудить все варианты ответов с другими пользователями сайта и получить от них наиболее полную подсказку.

12С + 22 = 82
12С = 82 - 22
12С = 60
С = 60 : 12
С = 5.
Думаю все будет понятно, но если что, спроси.
Не нашли ответ?
Задайте свой вопрос - ответ придёт в течение нескольких минут
Задать вопрос Решить по фото