
Объясните как решать данный пример, пожалуйста?
Объясните как решать данный пример, пожалуйста.

По этапно объясните и помогите решать ?
По этапно объясните и помогите решать .

Объясните как решать эту задачу?
Объясните как решать эту задачу.

Фото в вопросе?
Фото в вопросе.
Как решать такие уравнения?
(Объясните пожалуйста популярно).

Помогите пожалуйста?
Помогите пожалуйста!
Задали прорешать ВПР а эту тему не проходили.
Объясните пж как решать!
.

Номер 14 под (в, е) объясните как это решается пожалуйсто?
Номер 14 под (в, е) объясните как это решается пожалуйсто!

Выполните действия, и объясните как решать пожалуйста?
Выполните действия, и объясните как решать пожалуйста.
Извините что фотографией.
_. .

Помогите решить пожалуйста пример и объясните как решать 12с + 22 = 82?
Помогите решить пожалуйста пример и объясните как решать 12с + 22 = 82.

Ребят, объясните как решать дроби ?
Ребят, объясните как решать дроби .
.

√6 * √55 / √33 * 10объясните как решать, пожалуйста?
√6 * √55 / √33 * 10
объясните как решать, пожалуйста.
Вопрос Решите пожалуйста и объясните, как решать подобные?, расположенный на этой странице сайта, относится к категории Математика и соответствует программе для 5 - 9 классов. Если ответ не удовлетворяет в полной мере, найдите с помощью автоматического поиска похожие вопросы, из этой же категории, или сформулируйте вопрос по-своему. Для этого ключевые фразы введите в строку поиска, нажав на кнопку, расположенную вверху страницы. Воспользуйтесь также подсказками посетителей, оставившими комментарии под вопросом.



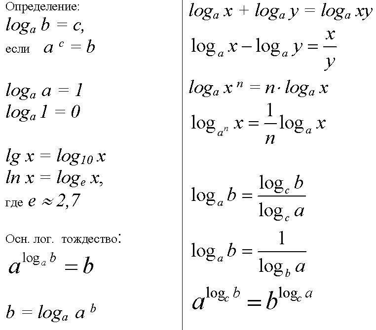
Посмотрите формулы логарифмов, все делается по ним.
Ответ в) 10.
Не нашли ответ?
Задайте свой вопрос - ответ придёт в течение нескольких минут
Задать вопрос Решить по фото