
Решите уравнения
1) sin x + 5 cos x = 0
2) 3 sin² x - 5 sin x cos x + 2 cos² x = 0
3) 2 sin 2x = 3 - 2 sin²x
4) √3sin x - cos x = -2

Рассчитать (sin 124 * - sin 56 * ) (cos 120 * + cos 150 * )?
Рассчитать (sin 124 * - sin 56 * ) (cos 120 * + cos 150 * ).

Sin(альфа - бета) + sin бета cos альфа?
Sin(альфа - бета) + sin бета cos альфа.

(25 ^ (sin(sin2x) - 5 ^ (2 * 3(1 / 2) * sin(sinx))) / ((5 * sin(sinx)) ^ 1 / 2) = 0?
(25 ^ (sin(sin2x) - 5 ^ (2 * 3(1 / 2) * sin(sinx))) / ((5 * sin(sinx)) ^ 1 / 2) = 0.

- 12 / Sin ^ 2 131 + sin ^ 2 221?
- 12 / Sin ^ 2 131 + sin ^ 2 221.

Отдаю все баллы ?
Отдаю все баллы !
Найти производную первого порядка функции одной переменной у = sin(2х + П / 6) вычислить у¹(п / 12).

(1 - sin a)(1 + sin a) упростите выражение?
(1 - sin a)(1 + sin a) упростите выражение.

Cos 3 b + cos 5 b + cos b / sin b + sin 5 b + sin 3 b?
Cos 3 b + cos 5 b + cos b / sin b + sin 5 b + sin 3 b
.

ПОМОГИТЕ ПОЖАЛУЙСТА1?
ПОМОГИТЕ ПОЖАЛУЙСТА
1.
Вычислить a) sin 765˚ b) cos 14 п \ 6
2.
Вычислить cos а, если sin а = −3 \ 5 и 3п \ 2 < ; а< ; 2п
3.
Упростить выражение cos (п \ 4 + а) + cos (п \ 4 - а)
5.
Вычислить ctg 4 + cos2sin( - 23).

Помогите решить уравнение sin(4x) + sin(2x) - ctg(2x) = 0?
Помогите решить уравнение sin(4x) + sin(2x) - ctg(2x) = 0.
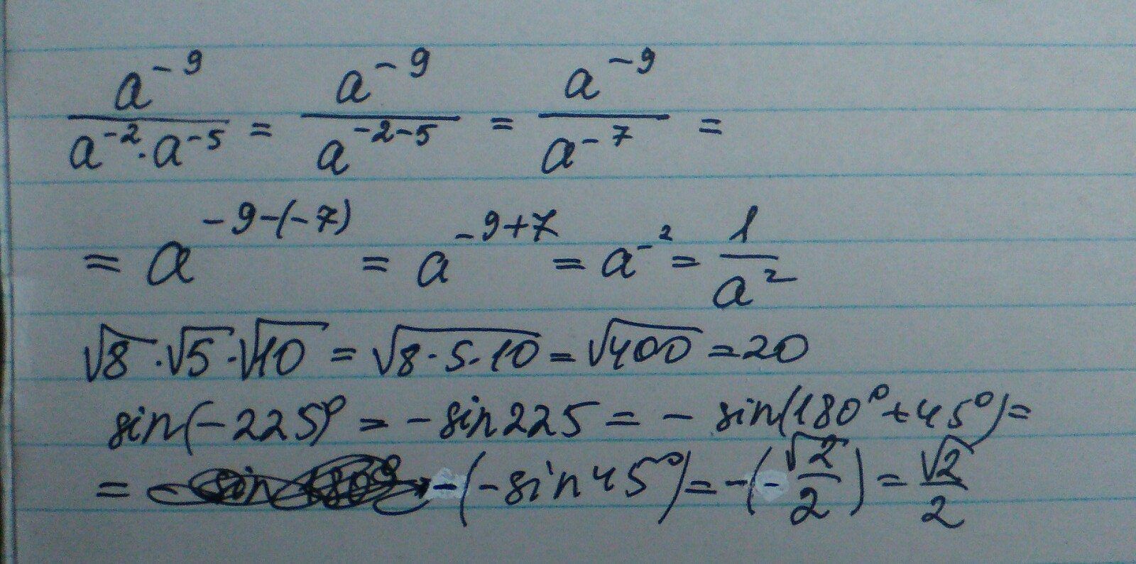
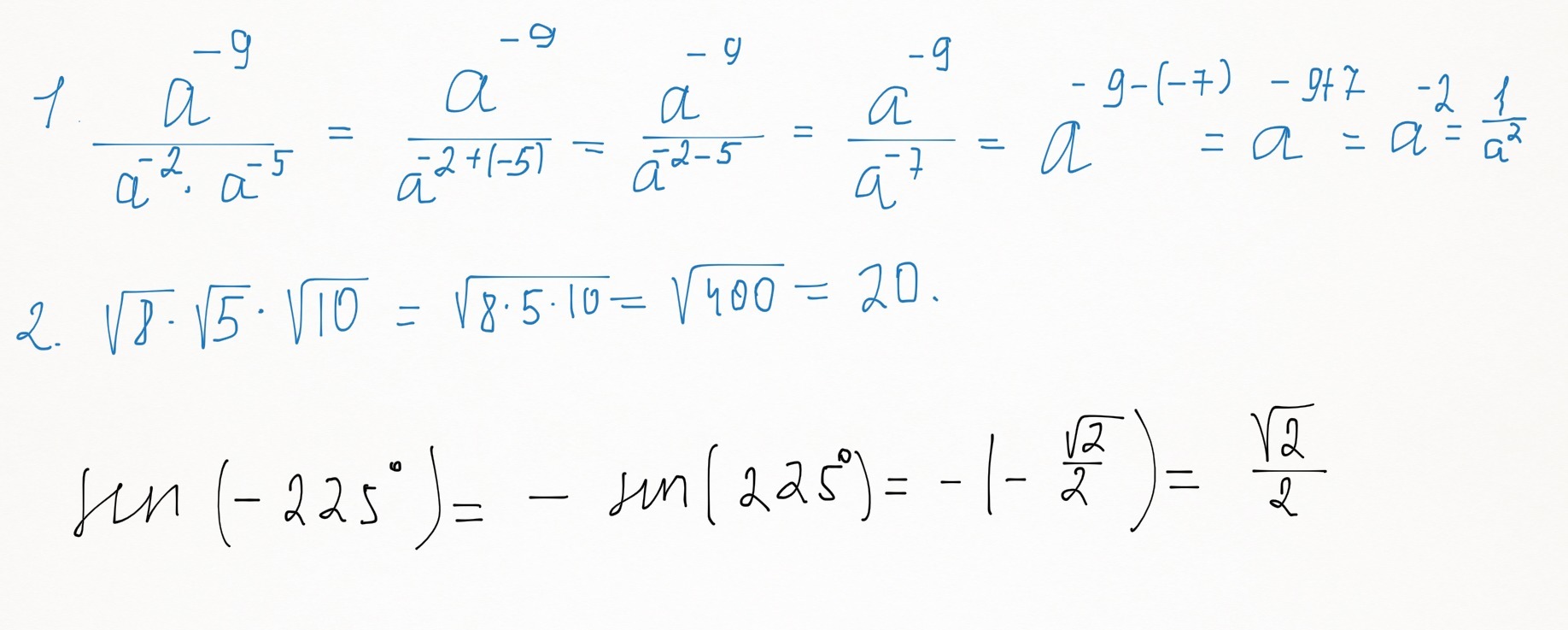
На этой странице находится ответ на вопрос 1 упростить2 вычислитьи еще вычислить sin( - 225)расписать ответы?, из категории Математика, соответствующий программе для 5 - 9 классов. Чтобы посмотреть другие ответы воспользуйтесь «умным поиском»: с помощью ключевых слов подберите похожие вопросы и ответы в категории Математика. Ответ, полностью соответствующий критериям вашего поиска, можно найти с помощью простого интерфейса: нажмите кнопку вверху страницы и сформулируйте вопрос иначе. Обратите внимание на варианты ответов других пользователей, которые можно не только просмотреть, но и прокомментировать.


.
Ответ прикреплен.
Удачи.